IDENTIDADES FUNDAMENTALES EN LAS RAZONES TRIGONOMÉTRICAS
Una identidad trigonométrica es una igualdad entre expresiones que contienen funciones trigonométricas y es válida para todos los valores del ángulo en los que están definidas las funciones (y las operaciones aritméticas involucradas).
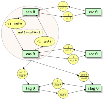
IDENTIDADES BÁSICAS
sen² β + cos² β =1
sen ² 30+ cos² 30=1
sen² 60 + cos² 60 =1
sen² 45 + cos² 45= 1
EJEMPLO:sen² 30 = cos² 30 =1
(1/2)(1/2)² + (√3/2)² = 1
1/4 + 3/4 =1
4/4 = 1
1 = 1
sen β = 1/cos β cos β ≠ 0
cosc β = 1/senβ sen β ≠ 0
cotan β = 1/tanβ tan β ≠ 0
tan β = sen β/ cos β cos β ≠ 0
cotan β = cos β /senβ sen β ≠ 0
tan β = 1/cat β
(1/2)(1/2)² + (√3/2)² = 1
1/4 + 3/4 =1
4/4 = 1
1 = 1
sen β = 1/cos β cos β ≠ 0
cosc β = 1/senβ sen β ≠ 0
cotan β = 1/tanβ tan β ≠ 0
tan β = sen β/ cos β cos β ≠ 0
cotan β = cos β /senβ sen β ≠ 0
tan β = 1/cat β


No hay comentarios:
Publicar un comentario